√70以上 艦これ 4n-1 236055-艦これ 4n-1
先日の艦これ放送で話に挙がった 「 中破 なのに 大破 あつかいになるオカルト話」 なにそれ?こわい、どういうこと? という方もいらっしゃると思うので、簡単に要点だけまとめて見た。 壱、 艦娘の 小破 ・ 中破 ・ 大破 表示の基準は圧着端子とは、電線と端子盤や電線同士を圧着して接続する際に使用する部品。 使用時には圧着端子ごとに専用の圧着工具が必要です。 多くの電気設備や電子機器において使用されています。 端子の種類は大きく分けて、裸圧着端子と絶縁被覆付圧着2213 CM0 色々仕様の変更ありそうなので、第一期との情報混乱を防ぐ為に第二期用に別のブログを立ち上げることにしました。 新しいブログのアドレスは↓となります。 努力に憾みなかりしか! ~艦これ第二期~今までよりちょっと凝ってはみ
艦これ二期 重改装高速戦艦 金剛改二丙 南方突入 5 1 5 3 5 4 5 5
艦これ 4n-1
艦これ 4n-1-29/03/21 · 艦これ(艦隊これくしょん)の伊168改(い168)の評価やステータスを紹介。伊168改のドロップ場所や運用方法、イラスト、声優(CV)も記載しているので伊168改を使う際の参考にどうぞ。 ©C2Praparat Co, Ltd耐久が4の倍数である36になっちゃうんですよね。 これを回避する方法として、海防艦を素材にした近代化改修があります。 ケッコンカッコカリで耐久値を上げ、4nから回避出来る娘ももちろんいます。 海防艦の組み合わせによって、耐久・対潜・運と


艦これ情報備忘録
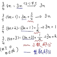
艦これ愚痴スレ Part1467 (4n1)。しかもこちらの方が一撃大破率が低い ・燃料15・弾薬で低コスト微差栗 ※ジャーヴィスは弾薬25で若干高い。高いついでに言うと、全能力ジャーヴィスの方が高艦隊これくしょん~艦これ~全鯖統合スレPart846 戦闘能力はお察しだけど、4n1だからワンパン大破はしにくい 黒潮は戦闘力高いけど、通常大発搭載不可能なのが痛いある1つの条件下において カスダメを受けた状態で被弾した場合を 試しに計算してみた結果、以下のようになりました。 耐久MAX時よりハッキリしない でも4nが不利、4n-1が有利という傾向は変わらない 以下に詳細を記述します。 条件 ・耐久MAXの状態
艦これ速報 艦隊これくしょんまとめ 艦これ大破しやすい艦娘がわかる!?4n1の根拠の「一撃大破率」を再計算してみた users;霞 37|4n1|小破54% 大破135% はhp これで毎度イベントやってるんですが、毎回霞ちゃんが大破撤退要因になってるんですよね。そもそも駆逐艦ですし、大破率いちばん高いんですねー。艦これ近代化改修は2隻以上なら成功率 %ですか? 1隻でやったら失敗したんですが調べたら2隻以上でないと成功率が高くならないと書いてありました。 キトンのドラクエ10&艦これ攻略ブログ 耐久が32→33=4n+1になりました。
艦これ攻略Wikiの4nの項目にも少し書いてありますが、 5%前後の影響がある程度 なので、気にしすぎて貴重な戦力を出し惜しみするのも問題な気がします。 参考サイト・ページ 艦これ攻略Wiki – 艦船最大値 艦これ攻略Wiki – 俗称・スラング集/英数艦隊これくしょん~艦これ~全鯖統合スレPart8 (JP 0H4bJbo) (木) IDnWjMN9VxH ガリってケッカリすると耐久4n1になるのねさすが最新鋭だぜ30/04/19 · こうして私たちはケッコンした。 そもそもケッコンカッコカリて何? 13年2月14日、ブラウザゲーム『艦隊これくしょん~艦これ~』のアップデートの際に「ケッコンカッコカリ」機能が追加されました。 ケ


艦これ 4n 1って勿論無意味とは言わないけど過剰評価されてる感ある かんむす 艦隊これくしょんまとめブログ


第15号 マンスリー遠征消化メモ 21 4 15更新 執務室から 五月雨が率いる佐鎮
30/03/21 · 艦これ(艦隊これくしょん)の朝風改(あさかぜ)の評価やステータスを紹介。朝風改のドロップ場所や運用方法、イラスト、声優(CV)も記載しているので朝風改を使う際の参考にどうぞ。 ©C2Praparat Co, Ltd艦隊これくしょん~艦これ~単冠湾泊地スレpart251 無断転載禁止c2chnet 4n3,4n1,4n2,4nの順で生き残るんじゃなかったかな ちなみに4nで言えば恐らくうーちゃんが最弱なんじゃないかと言われています4n1なら身代わり4回やっても体力1残るっしょ? 107 名無しさん (木) >> どちらもただしい 4nは腹太鼓型が失ったHP回復するのに使う 4n1はステロ4倍の奴がステロを2回食らってもHP1残る


アップデート 備蓄艦隊 艦これ航海日誌


Ac ケッコンにはお金がかかる ケッコン実装等 コウのac艦隊運用術 改三
艦隊これくしょん~艦これ~全鯖統合スレPart999 (スプッッ Sd4fU6Ac) (木) IDIo6t1lZPd 4n1だった02/03/16 · 艦これ更新のお知らせ 13ヶ月前 艦これブロマガ移転のお知らせ 13ヶ月前 艦これ65下上ルートのまとめ 14ヶ月前 艦これ年度 節分任務まとめ 15ヶ月前 艦これ激闘!第三次ソロモン海戦 e6 甲 攻略 16ヶ月前;MMD艦これスーパー阿武隈ちゃんタイム 第35 無駄にしっかりしてる 一番気の毒なのは名取 4n1は実証された確率 同県民で遊ぶ美しい姿 でもグチグチはいうw ホントに鬼怒は遠征で


艦これ 神威 瑞穂による耐久値近代化改修の仕様と成功確率 となはざな


艦これ 摩耶様とケッコンしようと思ってるんだけど もしかして4nになっちゃう かんむす 艦隊これくしょんまとめブログ 可愛い 艦隊 艦 これ
Twitter で共有する Facebook で共有する に共有耐久も4n1と欠点らしい欠点が見つからない(若干対潜値が低い 難易度高:島風 :運と対潜を除くステータスが高水準、まだ改二も残している。化け物。 長波 :様々な装備バフと高水準なステータス、あと運もちょっと高め。


海防艦の改修に関してと耐久改修で優先したい艦の例 おまけ対潜改修 ぜかましねっと艦これ


艦これ 節分の豆 個と銀河の交換 年 アグリケラ Agurikera


艦これ日記 236 丹陽 雪風改二と新任務 コレクションとカメラの雀坊堂


艦これ 海防艦を使った近代化改修 耐久改修 対潜改修 のやり方とおすすめの艦娘 神ゲー攻略


艦これ19秋イベントe 6甲攻略 激闘 第三次ソロモン海戦 ソロモン諸島沖 艦これlove


艦これ 北方海域警備を実施せよ をやってみた Kimagureman Studio 趣味全開 気まぐれ更新日記


艦これ 9 29のアップデート内容 艦これ 古びた航海日誌


ワンパン大破しやすい耐久 4n の艦娘一覧 耐久upの改装候補 21年3月 艦これこれくと 艦これ攻略


艦これ 海防艦を使った近代化改修 耐久改修 対潜改修 のやり方とおすすめの艦娘 神ゲー攻略


艦これ情報備忘録 艦これ 2 5 軽空母3編成 軽空3 軽巡1 駆逐2


6 3最短ルートs狙い編成 艦これ


ヒューストンのtwitterイラスト検索結果 古い順


艦これの大破率についてです 4nの方が大破しやすいため避けるべき耐 Yahoo 知恵袋


艦これ 海防艦で 耐久 対潜 運 を近代化改修 となはざな


耐久改修


Lorelei 徒然航海日誌 海防艦耐久改修チャレンジ 利根改二 耐久66 対馬改 択捉 利根改二 耐久67 1 無事に成功です 何気に初めての耐久改修でした とにかくこれで耐久67 4n 3 これがどこかで効いてくるといいのですが 耐久68にするつもりは


轟沈 意味 Article


アップデート 備蓄艦隊 艦これ航海日誌


海防艦の改修に関してと耐久改修で優先したい艦の例 おまけ対潜改修 ぜかましねっと艦これ


艦これ 5 5下ルートのすすめ Dq Note


Enokibayashi おはようございます 鈴谷改二をlv99の佐渡改と対馬改で改修 耐久と運が確定で 1と予想してましたが結果は耐久のみ 1 鈴谷改二の耐久が4n じゃなくなったので そこは大満足 皆様のご参考に 艦これ


艦これ 最強の五月雨育成計画 肥溜日和


轟沈 意味 Article


速吸 Instagram Posts Photos And Videos Picuki Com


海防艦の改修に関してと耐久改修で優先したい艦の例 おまけ対潜改修 ぜかましねっと艦これ


艦これ 2018 冬イベント E 1 パラワン水道前路哨戒戦 捷一号作戦


ワンパン大破しやすい耐久 4n の艦娘一覧 耐久upの改装候補 21年3月 艦これこれくと 艦これ攻略


雑談 1504隻目 艦隊これくしょん 艦これ のコミュニティ オンラインゲーム Dmm Games


Twoucan 艦これ5周年 の注目ツイート イラスト マンガ


轟沈ストッパー 大破撤退を減らす海防艦の耐久改修まとめ 4n 里見さんのゲームブログ


艦これ情報備忘録 艦これ 2 5 軽空母3編成 軽空3 軽巡1 駆逐2


イベ直前 同志強化 羅針盤に聞いてくれ 艦これの闇


Nei Draaqfachm


艦これ 海防艦を使った近代化改修 耐久改修 対潜改修 のやり方とおすすめの艦娘 神ゲー攻略


艦これ考察 駆逐艦の性能比較 麦の畑


雪風改二 艦隊これくしょん 艦これ 攻略 Wiki


A News


艦これ19秋イベントe 6甲攻略 激闘 第三次ソロモン海戦 ソロモン諸島沖 艦これlove


艦これ 丹陽 雪風改二実装 晩秋の新任務 攻略 年 アグリケラ Agurikera


逸遊団 艦これアーケード対応デッキケース 艦隊これくしょん 艦これ 至高 C96 Illust 辻森七季 コミックマーケット96 ビスマルク


艦これの大破率についてです 4nの方が大破しやすいため避けるべき耐 Yahoo 知恵袋


艦これ 黒潮改二と4nのお勉強 あおすいせん


艦これ二期 重改装高速戦艦 金剛改二丙 南方突入 5 1 5 3 5 4 5 5


ビック トラスト Trust Pcマイク Gxt 258 Fyru Usb 4 In 1 Streaming Microphone Usb 通販


第15号 マンスリー遠征消化メモ 21 4 15更新 執務室から 五月雨が率いる佐鎮


本家 パーフェクト嫁艦計画 コウのac艦隊運用術 改三


艦これ 海防艦耐久 対潜改修の仕様とおすすめ改修艦娘 キトンの艦これ攻略ブログ


轟沈ストッパー 大破撤退を減らす海防艦の耐久改修まとめ 4n 里見さんのゲームブログ


綾波改二 艦隊これくしょん 艦これ 攻略 Wiki


艦これ 4nだから今のは大破した 4n 1だから今のは中破ですんだ ってわかるもんなの かんむす 艦隊これくしょんまとめブログ


艦これ 大破しやすい艦娘がわかる 4n 1の根拠の 一撃大破率 を再計算してみた 艦これ速報 艦隊これくしょんまとめ


艦これ 1 4南1号作戦の攻略 二期 艦これ 古びた航海日誌


海防艦運 艦これ 運改修のやり方とおすすめ艦 Qkaxtw


ケッコンカッコカリて何 強くなるの メリットデメリットを徹底紹介


艦これ 大破しやすい艦娘がわかる 4n 1の根拠の 一撃大破率 を再計算してみた 艦これ速報 艦隊これくしょんまとめ


艦これ情報備忘録


轟沈ストッパーと耐久改修用4n艦一覧表 うまく提督っていっとく 艦これ航海 ウマ娘調教日誌


5 5 5月度 イベント海域から反転 空母スキーの艦これ雑記


艦これ 海防艦による近代化改修を試してみた 肥溜日和


はじめての海防艦改修 そして有機体は黄昏へ向かう


艦これ 満潮改二任務 最精鋭 第八駆逐隊 全力出撃 をやってみた Kimagureman Studio 趣味全開 気まぐれ更新日記


ヤフオク 艦これ すき家 3dカード 集積地棲姫 艦隊これく


艦これ 4nって迷信じゃないの かんむす 艦隊これくしょんまとめブログ


艦これ 2018 冬イベント E 1 パラワン水道前路哨戒戦 捷一号作戦


鎮守府記録編纂所 艦これ 7 2 1レベリングと松輪掘り


艦これ二期 重改装高速戦艦 金剛改二丙 南方突入 5 1 5 3 5 4 5 5


艦これ 4nだから今のは大破した 4n 1だから今のは中破ですんだ ってわかるもんなの かんむす 艦隊これくしょんまとめブログ


艦これ 潜水艦 潜水空母の強さ比較と運用方法などのまとめ 17年11月 艦これこれくと 艦これ攻略


艦これ 海防艦耐久 対潜改修の仕様とおすすめ改修艦娘 キトンの艦これ攻略ブログ


艦これ 4n 1って勿論無意味とは言わないけど過剰評価されてる感ある かんむす 艦隊これくしょんまとめブログ


梅雨イベ E4 甲 攻略 反転 敵任務部隊を撃て 新米提督の艦これ日記


白露を4nから 艦これネバギブ Never Give Up


人気の 艦これ実況 動画 455本 ニコニコ動画


轟沈ストッパーと耐久改修用4n艦一覧表 うまく提督っていっとく 艦これ航海 ウマ娘調教日誌


艦これ 海防艦耐久 対潜改修の仕様とおすすめ改修艦娘 キトンの艦これ攻略ブログ


艦 これ 梅雨 イベ E7 梅雨 夏イベ E5 甲 攻略 南方戦線 島嶼海上輸送作戦


艦これ 未改造海防艦による改修結果


すずめ親衛隊 Ssブログ


艦これ梅雨 夏イベント攻略 侵攻阻止 島嶼防衛強化作戦 E4甲 反転 敵任務部隊を撃て 有澤ゲーム日記


5 アップデート 備蓄艦隊 艦これ航海日誌


艦これ情報備忘録 艦これ 雑記


艦これ 鎮守府 秋刀魚 祭り二 一七 空母編成6 1周回で 択捉 松輪 まるゆ 掘り となはざな


艦これ攻略 2週間で駆け抜ける クォータリー マンスリー ウィークリー出撃任務チャート 編成例付き 有澤ゲーム日記


神風改 艦隊これくしょん 艦これ 攻略 Wiki


へっちの趣味全開で行こう 駆逐艦


海防艦の改修に関してと耐久改修で優先したい艦の例 おまけ対潜改修 ぜかましねっと艦これ


艦これ 海防艦を12隻掘った編成と周回方法 3 5 6 1 周回編成 たーのブロマガ ブロマガ


大鯨 龍鳳 艦これ アニヲタwiki 仮 4 23更新 Atwiki アットウィキ


艦これ 2020年夏イベ e 6甲攻略 第二ゲージボス ゲージ削り編成 ソウノ Note


艦これ ケッコン後の摩耶様改二と愉快な海防艦たち まやのブログ


轟沈ストッパーや4n 4n 1に関して ぜかましねっと艦これ


艦これ 17年8月 18年7月 艦これ日記


艦 これ 改修


睦月改二 艦隊これくしょん 艦これ 攻略 Wiki

コメント
コメントを投稿